next up previous
Link to Statistics and Actuarial Science main page
Next: About this document ... Up: 22S:194 Statistical Inference II Previous: Assignment 13

Solutions

10.41
This problem should have stated that $ r$ is assumed known.
a.
The log likelihood for $ p$ is

$\displaystyle \log L(p) =$   const$\displaystyle + n (r \log p + \overline{x}\log(1-p))$    

The first and second partial derivatives with respoct to $ p$ are

$\displaystyle \frac{\partial}{\partial p}$ $\displaystyle = \frac{n r}{p} - \frac{n \overline{x}}{1-p}$    
$\displaystyle \frac{\partial^2}{\partial p^2}$ $\displaystyle = - \frac{n r}{p^2} - \frac{n \overline{x}}{(1-p)^2}$    

So the Fisher information is $ I_n(p) = \frac{n r}{p^2 (1-p)}$ and the score test statistic is

$\displaystyle \sqrt{n} \frac{\frac{n r}{p} - \frac{n \overline{x}}{1-p}} {\sqrt...
...}} = \sqrt{\frac{n}{r}} \left(\frac{(1-p)r + p \overline{x}}{\sqrt{1-p}}\right)$    

b.
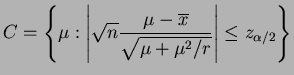
The mean is $ \mu = r(1-p)/p$. The score statsitic can be written in terms of the mean as

$\displaystyle \sqrt{\frac{n}{r}} \left(\frac{(1-p)r + p \overline{x}}{\sqrt{1-p}}\right) = \sqrt{n}\frac{\mu - \overline{x}}{\sqrt{\mu+\mu^2/r}}$    

A confidence interval is give by

$\displaystyle C = \left\{\mu: \left\vert\sqrt{n}\frac{\mu - \overline{x}}{\sqrt{\mu+\mu^2/r}}\right\vert \le z_{\alpha/2}\right\}$    

The endpoints are the solutions to a quatriatic,

$\displaystyle U,L = \frac{r(8\overline{x}+z_{\alpha/2}^2) \pm \sqrt{r z_{\alpha/2}^2}\sqrt{16r\overline{x}+16\overline{x}^2+rz_{\alpha/2}^2}}{8r-2z_{\alpha/2}^2}$    

To use the continuity corection, replace $ \overline{x}$ with $ \overline{x}+\frac{1}{2n}$ for the upper end point and $ \overline{x}-\frac{1}{2n}$ for the lower end point.

Problem: Let $ x_1,\dots,x_n$ be constants, and suppose

$\displaystyle Y_i = \beta_1(1-e^{-\beta_2 x_i}) + \varepsilon_i$    

with the $ \varepsilon_i$ independent $ N(0.\sigma^2)$ ramdom variables.
a.
Find the normal equations for the least squares estimators of $ \beta_1$ and $ \beta_2$.
b.
Suppose $ \beta_2$ is known. Find the least squares estimator for $ \beta_1$ as a function of the data and $ \beta_2$.

Solution:

a.
The mean response is $ \mu_i(\beta) = \beta_1(1-e^{-\beta_2 x_i})$. So the partial derivatives are

$\displaystyle \frac{\partial}{\partial\beta_1}\mu_i(\beta)$ $\displaystyle = 1 - e^{-\beta_2 x_i}$    
$\displaystyle \frac{\partial}{\partial\beta_2}\mu_i(\beta)$ $\displaystyle = \beta_1 (1-e^{-\beta_2 x_i}) x_i$    

So the normal equations are

$\displaystyle \sum_{i=1}^n \beta_1(1-e^{-\beta_2 x_i})^2$ $\displaystyle = \sum_{i=1}^n (1-e^{-\beta_2 x_i}) Y_i$    
$\displaystyle \sum_{i=1}^n \beta_1^2 (1-e^{-\beta_2 x_i})^2 x_i$ $\displaystyle = \sum_{i=1}^n \beta_1 (1-e^{-\beta_2 x_i}) x_i Y_i$    

b.
If $ \beta_2$ is known then the least squares estimator for $ \beta_1$ can be found by solving the first normal equation:

$\displaystyle \widehat{\beta}_1 = \frac{\sum_{i=1}^n (1-e^{-\beta_2 x_i}) Y_i} {\sum_{i=1}^n (1-e^{-\beta_2 x_i})^2}$    

Problem: Let $ x_1,\dots,x_n$ be constants, and suppose

$\displaystyle Y_i = \beta_1 + \beta_2 x_i + \varepsilon_i$    

Let $ y^*$ be a constant and let let $ x^*$ satisfy

$\displaystyle y^* = \beta_0 + \beta_1 x^*$    

that is, $ x^*$ is the value of $ x$ at which the mean response is $ y^*$.
a.
Find the maximum likelihood estimator $ \widehat{x}^*$ of $ x^*$.
b.
Use the delta method to find the approximate sampling distribution of $ \widehat{x}^*$.

Solution: This prolem should have explicitly assumed normal errors.

a.
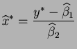
Since $ x^* = (y^* - \beta_1)/\beta_2$, the MLE is

$\displaystyle \widehat{x}^* = \frac{y^* - \widehat{\beta}_1}{\widehat{\beta}_2}$    

by MLE invariance.
b.
The partial derivatives of the function $ g(\beta_1,\beta_2) = (y^* - \beta_1)/\beta_2$ are

$\displaystyle \frac{\partial}{\partial\beta_1} g(\beta_1,\beta_2)$ $\displaystyle = -\frac{1}{\beta_2}$    
$\displaystyle \frac{\partial}{\partial\beta_2} g(\beta_1,\beta_2)$ $\displaystyle = -\frac{y^*-\beta_1}{\beta_2^2}$    

So for $ \beta_2 ~= 0$ the variance of the approximate sampling distribution is

$\displaystyle \widehat{\text{Var}}(\widehat{x}^*)$ $\displaystyle = \nabla g \sigma^2 (X^T X)^{-1} \nabla g^T$    
  $\displaystyle = \frac{\frac{1}{n\beta_2^2}\sum x_i^2 - 2 \overline{x}\frac{y^*-...
...a_1}{\beta_2^3} + \frac{(y^*-\beta_1)^2}{\beta_2^4}}{\sum (x_i-\overline{x})^2}$    
  $\displaystyle = \frac{\frac{1}{n\beta_2^2}\sum (x_i-\overline{x})^2 + \frac{(y^* - \beta_1 - \beta_2\overline{x})^2}{\beta_2^4}}{\sum (x_i-\overline{x})^2}$    
  $\displaystyle = \frac{1}{n\beta_2^2} + \frac{(y^* - \beta_1 - \beta_2\overline{x})^2}{\beta_2^4\sum (x_i-\overline{x})^2}$    

So by the delta method $ \widehat{x}^* \sim$   AN$ (x^*,
\widehat{\text{Var}}(\widehat{x}^*))$. The approximation is reasonably good if $ \beta_2$ is far from zero, but the actual mean and variance of $ \widehat{x}^*$ do not exist.

next up previous
Link to Statistics and Actuarial Science main page
Next: About this document ... Up: 22S:194 Statistical Inference II Previous: Assignment 13
Luke Tierney 2003-05-04